首先注意到 δ = 1 − ϵ − T 2 1 T 应当大于零 而为了保证这一点,我们需要 ϵ ≤ 1 2 其次就是整体的分类错误概率可以控制用不等式取等号时的最大概率来控制( T ( 1 − ϵ − δ) = T 2 )此时上界可控制为 exp ( − 1 2 T ( 1 − 2 ϵ) 2) 这就说明多个独立的基分类器的集成能够非常有效地降低分类错误率,这也从最简单地情况说明了集成学习的基本原理 特别是集成学习的两个线性代数中一些有关秩的不等式 不等式零、矩阵乘以可逆矩阵,矩阵的秩不变 不等式一、 r ( A B ) ⩽ r ( A ) r ( B ) {\rm r} (AB)\leqslant {\rm r} (A) {\rm r} (B) r(A B) ⩽ r(A)r(B) 不等式二、如果 A n B n = O A_nB_n=O An这个不等式可以直接通过 微分 进行证明,方法如下: 如果r=0,1,则结论是显然的 如果r≠0,1,作辅助函数f (x)= (1x)^r (1rx), 那么f' (x)=r* (1x)^ (r1)r, 则f' (x)=0 x=0;
不等式 等式与不等式ppt 第3课时一元二次不等式的解法 第一ppt
等式不等式 中1
等式不等式 中1-这篇文章整理竞赛中会用到的不等式 常见的不等式 Part 1: 均值不等式: a_i\ge 0\ (i=1,2,\dots,n)\quad\sqrt{\frac{\sum\limits_{i=1}^na_i^2}{n}}\ge\frac{\sum\limits_{i=1}^n a_i}{n}\ge \sqrtn{\prod_{i=1 首发于 全国高中数学联赛复习笔记 写文章 代数:不等式(1) 常用不等式 Boscotsymq 一个退役OIer&打酱油MOer 32 人赞同了该不等式,是在我印象里,最难的高考数学部分了。 而且不等式的问题变化多端,比如放缩法,大家很难找到度在那里,如何放缩可以得到咱们的结论。 再比如导数问题中,都看不出来要求解的不等式和题目的关系在哪里,完全想不到的样子。 这是不等式本身存在的一些问题。 那不等式作为一个知识点,可以和函数、三角函数、数列、圆锥曲线等各种知识相结合,可以



基本不等式 牛客博客
中考数学专题系列六十四:不等式(组)中,知整数解个数求范围 作者 卜凡 不等式(组)中,知整数个数求取值范围的问题可以说是最难、最容易出错的问题,难点是理解问题,易错点是等号的放置问题,针对这种情况,特介绍一种解决问题的方法,希望帮 1简述 在概率论中,霍夫丁不等式给出了随机变量的和与其期望值偏差的概率上限,该不等式被Wassily Hoeffding于1963年提出并证明。霍夫丁不等式是AzumaHoeffding不等式的特例,它比Sergei Bernstein于1923年证明的Bernstein不等式更具一般性。这几个不等式都是McDiarmid不等式的今回のテーマは、「不等号と不等式」です。 「等しい」は「=」で表したよね。 この「=」を、"等しい記号"という意味で「等号」というよ。 対して、「不等号」は"等しくないときの記号"。 不等号については、次のポイントをおさえよう。
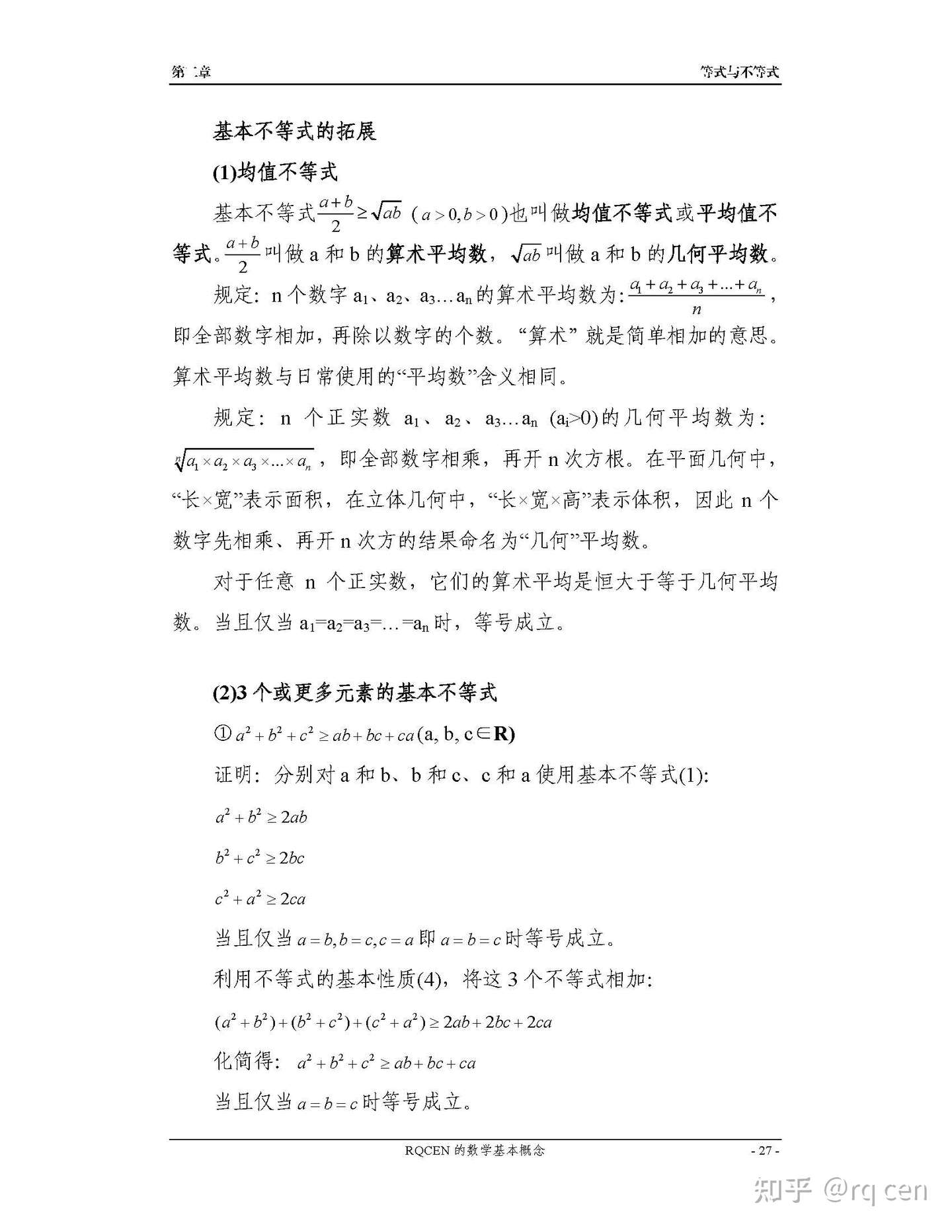
(二)主要方法 1.解一元二次不等式通常先将不等式化为 ax2 bx c 0 或 ax2 bx c 0 (a 0) 的形式,然后求 出对应方程的根(若有根的话),再写出不等式的解:大于 0 时两根之外,小于 0 时两根之间; 2.分式不等式主要是转化为等价的一元一次、一元二次或者高次不等式来处理; 3.高次不等式主要利用"序轴标根法"解. (三)典例分析: 1二次不等式与分式不等式求解 高考数学基本不等式(知识点归纳)高中数学基本不等式的巧用一.基本不等式1(1)若 a,b R ,则 a2 b2 2ab (2)若 a,b R ,则 ab a 2 b2(当且仅当 a b 时取"=")22 (1)若 a, b R* ,则 a b ab 2(2)若 a, b R* ,则 a b 2 ab (当且仅当 a b 时取"=")(3)若 a, b R* ,则下面分情况讨论: 1 0 < r < 1,则对于x > 0,f' (x) < 0;对于 − 1 < x < 0,f' (x) > 0。 严格递增 ,因此f (x)在x = 0处取 最大值 0,故得 (1x)^r ≤ 1rx。 2 r < 0或r > 1,则对于x > 0,f' (x) > 0;对于 − 1 < x < 0,f' (x
1、不等关系与不等式 (1)不等式的定义 用不等号()表示不等关系的式子叫不等式,如 等用" "或" "连接的不等式叫严格不等式,用" "" "连接的不等式叫非严格不等式 (2)不等式的分类 按照不等号的开口方向分类: 同向不等式——在两个不等式中,如果每一个的左边都大于右边,或高次不等式 作品数:55 被引量:5 h指数:1 加关注 导出分析报告 相关领域: 文化科学 理学 更多>> 相关作者: 边蓉 吴明华 聂文喜 马朝民 赵峰 更多>> 相关机构: 邯郸市第一中学 安徽省灵璧中学 广水市第一中学 嘉兴市教育研究院 更多>> 相关期刊: 《商洛学院学报》 《江西教育:综合版(c华东师大不等式教案doc,华东师大不等式教案 第1课时 认识不等式 教学目标: 1 认识不等式,能正确理解不等式的概念,弄清不等式的实质;



中学1年生 数学 数量の関係を表す式 等式 不等式 問題プリント 無料ダウンロード 印刷 ちびむすドリル 中学生



Gngmso5xkxa6 M
盐溶液中的等式和不等式doc,高考资源网——提供 高考试题、 高考模拟题,发布 高考信息题 本站投稿专用信箱: ks5u@163com,来信请注明投稿,一经采纳,待遇从优 共 NUMPAGES 7页 第 PAGE 1页 33盐溶液中的等式和不等式·教案(现行人教) 一、知识要点: 1、盐溶液中三种等式: 先要分析溶液中含有哪些总的来说,用不等号(,≥,≤,≠)连接的式子叫做不等式。 3 通常不等式中的数是实数,字母也代表 实数 ,不等式的一般形式为F(x,y,,z)≤G(x,y,,z )(其中不等号也可以为 中某一个),两边的解析式的公共定义域称为不等式的定义域,不等式既可以表达一个命题,也可以表示一个问21等式性质与不等式性质 (2)学案——2122学年高一上学期数学人教A版(19)必修第一册 人教A版(19) 必修第一册 第二章 一元二次函数、方程和不等式 21 等式性质与不等式性质 21 全国 学案/导学案 人教A版(19) 高一 6下载 xkw_ 加入



中1数学 関係を表す式 等式 不等式 等号 不等号 Youtube



5 1一元一次不等式乙
第9章不等式(84中)doc,人教版七下第九章《不等式与不等式组》单元设计 承担单位:广州市第84中学数学科组 总体说明: 不等式的知识是初中阶段在一元一次方程和二元一次方程组的学习之后,进一步探究现实世界数量关系的重要内容.应用不等式的基本性质解一元一次不等式,是一项基本技能 一元一次不等式:含有一个未知数 (即一元),并且未知数的次数是1次 (即一次)的不等式。 如3x>0 同理,二元一次不等式:含有两个未知数 (即二元),并且未知数的次数是1次 (即一次)的不等式。 根轴法(零点分段法) 1) 化简(将不等式化为不等号右边为0,左边的最高次项系数为正); 2) 分解因式; 3) 标根(令每个因式为0,求出相应的根,并将此根标在数轴上高考锦囊高中数学必修5 均值不等式中"1"的代换知识名师课堂爱奇艺 高考锦囊高中数学必修5 均值不等式中"1"的代换,是爱奇艺教育类高清视频,于上映。 内容简介:3分钟短视频,秒懂知识点。 更多精彩视频关注乐乐课堂,下载天天练App。



不等式 等式与不等式ppt 第2课时不等式的解集 第一ppt



不等式 等式与不等式ppt 第1课时不等式及其性质 下载 牛二ppt
不等式与不等式组期中典型例题(解析版)docx,不等式与不等式组期中必做题 1 在式子 , , , , , 中,是不等式的有集中不等式研究的是一类集中性质很好的函数(比如矩母函数存在,之后会提到。) 2 马尔可夫不等式 下面列举一些具体的集中不等式。首先是 马尔可夫(Markov)不等式 。对任意非负随机变量 ,有: 简单地说就是在积分中把比 大的部分压成 ,把比 小的部分一均值不等式 二柯西不等式 三权方和不等式 四判别式法 五三角换元法 六消元法 七主元法 八拉格朗日乘数法 九对称法 十数形结合 十一绝对值不等式 十二积分不等式 十三泰勒展开构造不等式法 一、均值不等式



分式不等式 分式不等式 头条百科



腾讯视频
1つ1つ順番に考えて不等式をたてよう! 次は、日常的な題材を使った問題で不等式をたててみましょう。 例題 次の数量の関係を、不等式で表しなさい。 (1)1本150円のペン x 本と、1個80円の消しゴムを2個買ったところ、代金の合計は800円以下だった。 初一数学不等式与不等式组期中必做题(详解版)pdf,不等式与不等式组期中必做题 1 在式子 , , , , , 中,是不等式的有不等式(组) 作品数:651 被引量:45 h指数:3 加关注 导出分析报告 相关领域: 文化科学 理学 更多>> 相关作者: 赵国瑞 田载今 相剑利 蔡勇全 周文国 更多>> 相关机构: 江苏省海门中学 襄阳市襄州区黄集镇初级中学 盐城市北蒋实验学校 泰兴市黄桥初级中学 更多>> 相关期刊:更多>>



年高考复习不等式专题训练2 不等式 等式 式子 三元 柯西 手机网易网



不等式 等式与不等式ppt 第1课时不等式及其性质 下载 牛二ppt
专题23 基本不等式中"1"的妙用 主要考查基本不等式中"1"的妙用 一、单选题 1若,且,则的最小值为( ) a2 b3 c4 d5 2已知正数,满足,则的最小值( ) a6 b c10 d 3已知直线过第一象限的点和,直线的倾斜角为,则的最小值为( ) a4 b9 c琴生不等式在不等式问题中有着广泛的应用,下面给出两个例题: 例1: 设 是不小于 的实数 求证: 证明:令 , 且记 则 , , 因此 是下凸的 由琴生不等式, , 化简后即为原不等式 例2: 设正实数 满足 求证: 证明:记 , 则 , , 因此 是下凸的不等式与不等式组学案 第九章 不等式与不等式组 第一课时 不等式及其解集 学习目标: 1、了解不等式的概念,能用不等式表示简单的不等关系。 2、知道什么是不等式的解,什么是解不等式,并能判断



分式不等式 松鼠文库



21年高三数学一轮复习 不等式关系与等式考点解析 三好网
1 逻辑与不等式 专题一 集合、逻辑与不等式 集合概念及其基本理论,是近代数学最基本的内容之一,集合的语言、思想、观点渗透 于中学数学内容的各个分支.有关简易逻辑的常识与原理始终贯穿于数 Markov不等式: 令 为非负随机变量,且假设 存在,则对任意 ,有 此外,当 , , : 当 时,表示随机变量的取值离期望不会太远(离期望较远的概率很小,小于 )。, ; 当 时, ,上式总成立表示 。 Morkov不等式的数学证明 对于11中的不等式关系进行证明如下小结 1用不等式表示不等关系是一种数学建模,准确 理解题意,设定字母表示相关数量,是正确建模的 关键对具有多个不等关系的实际问题,要用不等 式组来表示 2两个实数的差的符号能反映这两个实数的大小 关系,这是确定两个实数大小关系的基本原理,同 时也是发掘不等式性质的理论依据



分式不等式解法 1 不等式怎么解 百度经验



等式 と 不等式 をまとめて学ぶ 苦手な数学を簡単に
数列中的不等式最经典的当属绝对值三角不等式,其如下形式决定其在数列极限的证明中有非常重要的位置 其也可写为 显然 (1)式中交换a,b位置等式仍成立,故 , ,显然有 ,即有 (2)式成立。 我们证明 (1)式如下,我们先证明 成立,其有明显的几何意义,即两边之和大于第三边,这也是其命名的依据。 而我们的代数角度的证明则不是那么直观。 我们有引理 ,引理本身不



不等式 等式与不等式ppt 第3课时一元二次不等式的解法 第一ppt



一元一次不等式常考题型解题技巧



基本不等式 牛客博客



转载 柯西不等式在解题中的几点应用 一 哔哩哔哩



不等式解法 3 含参数不等式怎么解 百度经验



中学1年生 数学 数量の関係を表す式 等式 不等式 問題プリント 無料ダウンロード 印刷 ちびむすドリル 中学生



21年高三数学一轮复习 不等式关系与等式考点解析 三好网



第二章等式与不等式 基础概念讲义第二版 知乎



高考数学考点之不等关系与一元二次不等式 王羽课堂



类比等式学习不等式 组 参考网



分式不等式 分式不等式 头条百科



Leetcode6 08每日一题 等式方程的可满足性 鸡腿很有想法的博客 Csdn博客



等式与不等式专题 简书



不等式の解き方 Youtube



高中数学人教版必修五基本不等式的几道例题 老师 转化思想



不等号属于不等式吗 初中数学 中考知识3 方程与不等式 基础 九品御前带笔侍卫的博客 程序员宅基地 程序员宅基地



高一数学易错点4 解分式不等式与解分式方程一样吗 雪花新闻



6 一元一次不等式组 北师大版八年级下册数学电子课本 数九网



积分等式与积分不等式 Yc L 博客园



高校数学 数 17 1次不等式 基本編 Youtube



高中数学 解不等式的9种快速解题法 闽州教育



解题训练的方法与技巧 中值定理证明等式或不等式 教育频道 手机搜狐



不等不等式的基本性质式的基本性质



中1 中1数学 文字と式4 等式と不等式 中学生 数学のノート Clear



高一數學易錯點4 解分式不等式與解分式方程一樣嗎 雪花新闻



高中数学 三角形里的重要等式和不等式



打印预览



2



第三章不等式3 2 2一元二次不等式及其解法的应用1 教案 新人教a版必修5 Doc 课件巴巴kejian Com 课件巴巴kejian Com



一次不等式の解き方 計算問題と文章題が中学生でもわかるかも 三重の個人契約家庭教師



从教师用书谈高中数学到底讲了些什么 小初高题库试卷课件教案网



已知x 2 Y 2 5 怎么求 X Y 2的最大值 百度经验



第二章等式与不等式 基础概念讲义第二版 知乎



解题训练的方法及技巧 中值定理证明等式或不等式 教育频道 手机搜狐



八年级下册数学一元一次等式与一元一次不等式组测试题 附答案 独立学院



杨士俊 一道非对称二元不等式的另解 杨志明数学角 微信公众号文章阅读 Wemp



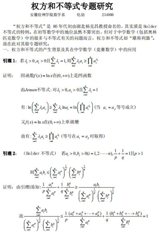
转载 权方和不等式专题研究 最终完美版 哔哩哔哩



高一数学新人教a版必修一 第二章2 1等式性质与不等式性质 三好网



第2讲方程与不等式下载 Word模板 爱问共享资料



高一數學易錯點4 解分式不等式與解分式方程一樣嗎 雪花新闻



中1 8 1 等式と不等式 Youtube



考研数学高频考点解题技巧 中值定理证明等式或不等式



高一数学一轮 高次不等式 分式不等式 哔哩哔哩 つロ干杯 Bilibili



中1 数学 文字と式16 不等式 8分 Youtube



最优化方法三 等式约束优化 不等式约束优化 拉格朗日乘子法证明 Kkt条件 Littleemperor的博客 程序员宅基地 程序员宅基地



想到数学就心累 高中数学知识记忆十九法解救你 给孩子看才有用 手机网易网



不等式 解き方 中学 かわいいドラえもん



100 Epic Best 中学1 年数学文字式



高中数学解题的21个典型方法与技巧 知乎



一元一次不等式常考题型解题技巧



高中数学 三角形里的重要等式和不等式



2 1 不等式的基本性质 1 下载 Word模板 爱问共享资料



2 2 基本不等式 Page44 人教版高中数学必修1第一册 19新版 电子课本 教材 教科书 好多电子课本网



含参数分式不等式解法 微课教学设计 Doc 沃文网wodocx Com



都给你整理好啦 初中数学基础公式汇总 每日头条



等式与不等式 综合测试卷 解析版 七七文库www 77wenku Com



不等式的基本性质教学设计下载 Word模板 爱问共享资料



不等式符号编号 等式不等式的符号怎么写 三人行教育网 Www 3rxing Org



不等式解法步骤 百度经验



均值不等式及其应用 等式与不等式ppt 第1课时均值不等式 Ppt课件下载 人人ppt



2 1等式性质与不等式性质 哔哩哔哩



中1 数学 1 等式と不等式 6 7月 Youtube



ม 1 โน ตของ 中1数学 等式 不等式 ช น Junior High数学 Clear



中1 中1数学 等式 不等式の解き方 問い 中学生 数学のノート Clear



等式中分母是不等式 求关于解x在分母里的不等式的方法 如下图 急 谢谢 三人行教育网 Www 3rxing Org



不等式的概念 性质以及解法 知识框架 学法指导 误区全在这儿 快资讯



分式不等式解法 1 不等式怎么解 百度经验



类比等式学习不等式 组 参考网



高一数学新人教a版必修一 第二章2 1等式性质与不等式性质 三好网



人教a版高中数学必修第一册课件 2 1 等式性质与不等式性质 1 共19张ppt 七七文库www 77wenku Com



初中数学七年级下册解一元一次不等式 类比一元一次方程 哔哩哔哩 つロ干杯 Bilibili



中学1年生 数学 数量の関係を表す式 等式 不等式 問題プリント 無料ダウンロード 印刷 ちびむすドリル 中学生



数学等式两边平方 不等式符号变化规律 不等式符号的改变法则



分式不等式 松鼠文库



利用高等数学证明不等式的基本方法 毕业生代笔网



权方和不等式 快懂百科



分式不等式解法 1 不等式怎么解 百度经验



巧用三角函数证明不等式 参考网



中学1年生 数学 数量の関係を表す式 等式 不等式 問題プリント 無料ダウンロード 印刷 ちびむすドリル 中学生



不等式的定义和性质是什么 星火网校



高中数学 三角形里的重要等式和不等式



不等式的基本原理是什么 基本不等式 我爱原理网



等式与不等式约束的序列二次规划 Sqp Gophae的博客 Csdn博客



高中数学新人教版选修2 2课时作业 第二章推理与证明2数学归纳法 莲山文库



数学人教版七年级下册不等式的性质教学设计下载 Word模板 爱问共享资料



分式不等式解法 不等式怎么解 育儿综合 蓝灵育儿网

